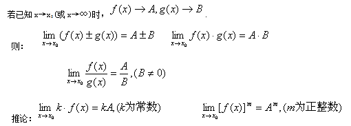
函数极限的运算规则
前面已经学习了数列极限的运算规则,我们知道数列可作为一类特殊的函数,故函数极限的运算规则与数列极限的运算规则相似。
⑴、函数极限的运算规则
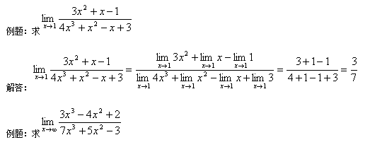
在求函数的极限时,利用上述规则就可把一个复杂的函数化为若干个简单的函数来求极限。

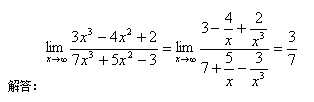
此题如果像上题那样求解,则会发现此函数的极限不存在.我们通过观察可以发现此分式的分子和分母都没有极限,像这种情况怎么办呢?下面我们把它解出来。

注:通过此例题我们可以发现:当分式的分子和分母都没有极限时就不能运用商的极限的运算规则了,应先把分式的分子分母转化为存在极限的情形,然后运用规则求之。
